CG PSC: CG PSC ने जारी किया रिजल्‍ट: 91 पदों पर भर्ती की चयन सूची जारी, देखें रिजल्‍ट

CG PSC:

Update: 2024-03-29 14:31 GMT

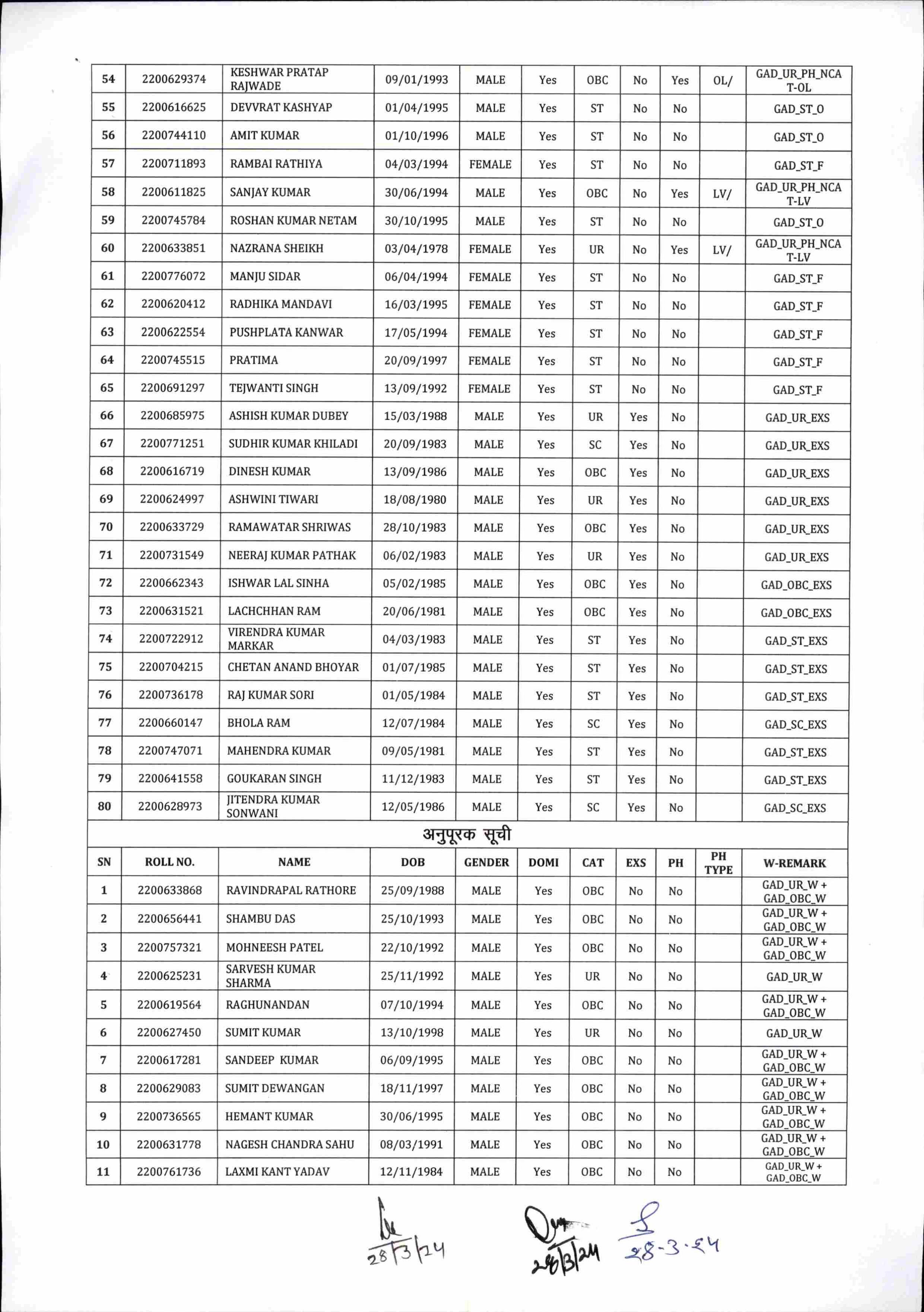
CG PSC: रायपुर। छत्‍तीसगढ़ लोक सेवा आयोग (CG PSC) ने भृत्‍य के 91 पदों पर भर्ती परीक्षा के परिणाम के साथ चयन सूची जारी कर दी है। सामान्य प्रशासन विभाग एवं छत्तीसगढ़ लोक सेवा आयोग के अंतर्गत भृत्य के क्रमशः 80 एवं 11 कुल- 91 पद विज्ञापित किए गए थे। भृत्य पदों के लिए जारी लिखित परीक्षा (प्रथम चरण भाग-1) परिणाम 12/05/2023 में विज्ञापित पद का 05 गुना अर्थात् 455 अभ्यर्थियों को शुद्ध लेखन (ईमला) (द्वितीय चरण भाग-2) के लिए चिन्हांकन किया जाना था, किन्तु वर्गवार / उपवर्गवार अर्ह अभ्यर्थियों की उपलब्धता के आधार पर कुल-467 चिन्हांकित हुए। भृत्य पद के लिए शुद्ध लेखन (ईमला) (द्वितीय चरण भाग-2) परीक्षा 25/05/2023 को आयोजित किया गया जिसमें कुल 412 अभ्यर्थियों में से 86 अभ्यर्थी अनुपस्थित रहे। उपस्थित अभ्यर्थियों की संख्या कुल 326 रही।

भृत्य (सामान्य प्रशासन विभाग एवं छत्तीसगढ़ लोक सेवा आयोग) के लिखित परीक्षा (प्रथम चरण भाग-1) तथा शुद्ध लेखन (ईमला) (द्वितीय चरण भाग-2) में प्राप्त अंकों के कुल योग के मेरिट क्रम के आधार पर एवं आवेदकों द्वारा भरे गए पद अग्रमान्यता के अनुसार पदवार, वर्गवार छत्तीसगढ़ लोक सेवा आयोग द्वारा भृत्य सामान्य प्रशासन विभाग एवं छत्तीसगढ़ लोक सेवा आयोग) के कुल-91 पदों के विरूद्ध 91 पदों पर चयन सूची/अनुपूरक सूची जारी की जा रही है, जो निम्नवत है-

 



 






 




 




 




 




Tags:    

Similar News